26

Is there an established algorithm for finding redundant edges in a graph?

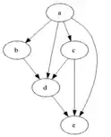
For example, I'd like to find that a->d and a->e are redundant, and then get rid of them, like this:

alt text => alt text

Edit: Strilanc was nice enough to read my mind for me. "Redundant" was too strong of a word, since in the example above, neither a->b or a->c is considered redundant, but a->d is.

Community
  • 1
  • 1
Ryan Fox
  • 10,103
  • 5
  • 38
  • 48
  • Can we instead consider B--->C to be redundant? – Zach Scrivena Feb 04 '09 at 07:52
  • Does redundant mean "an edge X->Y is redundant if there is a non edge path from X to Y" or are you simply looking for a spanning tree ? – David Lehavi Feb 04 '09 at 08:24
  • @Zach: No, B->C is not redundant, because if it is removed there is no path in the resulting graph from B to C. – ShreevatsaR Feb 04 '09 at 14:52
  • Sorry to have made your comments incorrect, but I've updated with a better example. – Ryan Fox Feb 05 '09 at 00:55
  • This is weird. The picture used to describe the problem is the one used in the linked solution (wikipeda). What is going on here? – ABu Apr 30 '19 at 14:06
  • It's been 10 years, so my memory is foggy, but I think I changed the image to the one from Wikipedia once I found it because it was much better than the one I came up with. – Ryan Fox Jun 12 '19 at 01:11

5 Answers5

38

You want to compute the smallest graph which maintains vertex reachability.

This is called the transitive reduction of a graph. The wikipedia article should get you started down the right road.

Craig Gidney
  • 17,763
  • 5
  • 68
  • 136
2

Since the Wikipedia article mentioned by @Craig gives only a hit for an implementation, I post my implementation with Java 8 streams:

Map<String, Set<String>> reduction = usages.entrySet().stream()
                .collect(toMap(
                        Entry::getKey,
                        (Entry<String, Set<String>> entry) -> {
                            String start = entry.getKey();
                            Set<String> neighbours = entry.getValue();
                            Set<String> visited = new HashSet<>();
                            Queue<String> queue = new LinkedList<>(neighbours);

                            while (!queue.isEmpty()) {
                                String node = queue.remove();
                                usages.getOrDefault(node, emptySet()).forEach(next -> {
                                    if (next.equals(start)) {
                                        throw new RuntimeException("Cycle detected!");
                                    }
                                    if (visited.add(next)) {
                                        queue.add(next);
                                    }
                                });
                            }

                            return neighbours.stream()
                                    .filter(s -> !visited.contains(s))
                                    .collect(toSet());
                        }
                ));
FLUXparticle
  • 733
  • 6
  • 16
0

Several ways to attack this, but first you're going to need to define the problem a little more precisely. First, the graph you have here is acyclic and directed: will this always be true?

Next, you need to define what you mean by a "redundant edge". In this case, you start with a graph which has two paths a->c: one via b and one direct one. From this I infer that by "redundant" you mean something like this. Let G=< V, E > be a graph, with V the set of vertices and E ⊆ V×V the set of edges. It kinda looks like you're defining all edges from vi to vj shorter than the longest edge as "redundant". So the easiest thing would be to use depth first search, enumerate the paths, and when you find a new one that's longer, save it as the best candidate.

I can't imagine what you want it for, though. Can you tell?

Charlie Martin
  • 110,348
  • 25
  • 193
  • 263
0

I think the easiest way to do that, actually imagine how it would look in the real work, imagine if you have joints, Like

(A->B)(B->C)(A->C), imagine if distance between near graphs is equals 1, so

(A->B) = 1, (B->C) = 1, (A->C) = 2.

So you can remove joint (A->C).

In other words, minimize.

This is just my idea how I would think about it at start. There are various articles and sources on the net, you can look at them and go deeper.

Resources, that Will help you:

Algorithm for Removing Redundant Edges in the Dual Graph of a Non-Binary CSP

Graph Data Structure and Basic Graph Algorithms

Google Books, On finding minimal two connected Subgraphs

Graph Reduction

Redundant trees for preplanned recovery in arbitraryvertex-redundant or edge-redundant graphs

Lukas Šalkauskas
  • 14,191
  • 20
  • 61
  • 77
  • 1
    This type of graph reduction is specifically called a transitive reduction in set-theoretical terms, by the way: http://en.wikipedia.org/wiki/Transitive_reduction – Gracenotes Feb 04 '09 at 07:06
  • Yeah, but still You can use algos from various areas to solve this problem, by your needs. – Lukas Šalkauskas Feb 04 '09 at 07:10
0

I had a similar problem and ended up solving it this way:

My data structure is made of dependends dictionary, from a node id to a list of nodes that depend on it (ie. its followers in the DAG). Note it works only for a DAG - that is directed, acyclic graph.

I haven't calculated the exact complexity of it, but it swallowed my graph of several thousands in a split second.

_transitive_closure_cache = {}
def transitive_closure(self, node_id):
    """returns a set of all the nodes (ids) reachable from given node(_id)"""
    global _transitive_closure_cache
    if node_id in _transitive_closure_cache:
        return _transitive_closure_cache[node_id]
    c = set(d.id for d in dependents[node_id])
    for d in dependents[node_id]:
        c.update(transitive_closure(d.id))  # for the non-pythonists - update is update self to Union result
    _transitive_closure_cache[node_id] = c
    return c

def can_reduce(self, source_id, dest_id):
    """returns True if the edge (source_id, dest_id) is redundant (can reach from source_id to dest_id without it)"""
    for d in dependents[source_id]:
        if d.id == dest_id:
            continue
        if dest_id in transitive_closure(d.id):
            return True # the dest node can be reached in a less direct path, then this link is redundant
    return False

# Reduce redundant edges:
for node in nodes:      
    dependents[node.id] = [d for d in dependents[node.id] if not can_reduce(node.id, d.id)]
Iftah
  • 9,512
  • 2
  • 33
  • 45
  • just wanted to comment on previous answers - Reducing the redundant edges is NOT the same as Spanning Tree, not even the same as Minimum Spanning Tree. And if one path from A to B is longer than another path from A to B it doesn't mean anything about what edges (if any) are redundant. In his example above you can construct a spanning tree without edge a->b but it is not redundant. – Iftah Jun 29 '11 at 07:37